Jump to content Jump to search

Flow Chemistry

One of our most recent areas of research is flow chemistry. Here, classic flasks of the batch process are replaced by pumps, tubes and microreactors. The principle behind this process is very simple - substrates are pumped over the catalyst-filled microreactors with the use of pumps and thus converted into the corresponding products. This is accompanied by a number of advantages: in addition to increased safety against toxic substances, it is also possible to rapidly change the reaction conditions, such as temperature, flow rate and pressure. In this way, the targeted formation of different products can be controlled. Flow reactions are also easily scalable, which enables optimal preparation of the processes for later industrial application on a large scale.

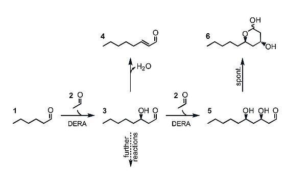
For an efficient use of the mentioned catalysts, immobilisation plays a major role. For this goal, we are evaluating different immobilisation strategies in our institute with regard to stability and activity. Besides the catalyst itself, the choice of the solid phase and the type of binding (e.g. physical or covalent) must also be considered in particular. Successful immobilisation will allow the catalyst to be reused. Finally, different enzymes (e.g. alcohol dehydrogenases (ADH) or the 2-deoxy-d-ribose-5-phosphate aldolase (DERA)), as well as different organocatalysts should be used to be able to stereoselectively obtain the desired products under the mildest possible conditions. In addition, the reusability of the catalyst and the targeted control of reaction conditions will contribute to sustainable chemistry.

Selected Publications




The following people work in this area:

Responsible for the content: Jörg Pietruszka : Contact by e-mail